• Главная
  • Регистрация
  • Войти
  • * Имя учетной записи, а не настоящее имя

    Забыли пароль?
Московский Государственный Технический Университет им. Н.Э. Баумана
  • Доцент Анатолий Степанович Чуев
  • Файловый браузер
  • Файлы
  • !-ФИЗИКА-1 курс2014
Создать папку
Закачать файл
Имя Размер Дата публикации
назад
m1.pdf 421.2 КБ22 Мар 2026
phys_dz_2_sem_2018.pdf 1.2 МБ22 Мар 2026
Видеоролики по системе ФВиЗ.doc 29.5 КБ22 Мар 2026
Вопросы 2014 ДФ-1 курс.zip 248.3 КБ22 Мар 2026
Вопросы к лабам 2020 1-й курс.zip 398.5 КБ22 Мар 2026
Гладков+Н.А.Домашнее+задание+по+курсу+общей+физики.pdf 595.9 КБ22 Мар 2026
Задачник по физике_Чертов А.Г, Воробьев А.А_2001 7-е изд -640с.djvu 6.6 МБ22 Мар 2026
О построении гистограммы.doc 49.5 КБ22 Мар 2026
Пособое по термодинамике.pdf 1.6 МБ22 Мар 2026
Система физических величин в механике.pdf 2.8 МБ22 Мар 2026
Система физических величин в механике.pps 3.4 МБ22 Мар 2026
Системная визуализация закономерных соотношений ФВ в механике.pdf 672.8 КБ22 Мар 2026
Системная визуализация закономерных соотношений ФВ в механике.pps 746.0 КБ22 Мар 2026
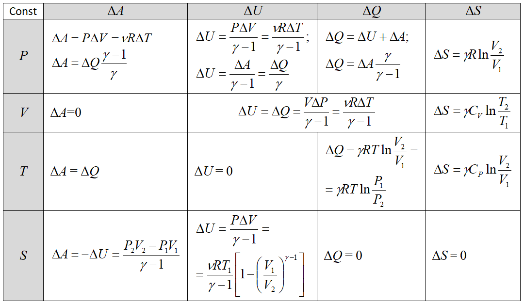
Формулы термодинамики.png 37.2 КБ22 Мар 2026
  • Разработано в ИТиБД МГТУ
  • О проекте